하드웨어 제작을 위해 555 발진회로를 구상중인데 좋은 프로그램을 찾아서 공유드립니다. 실행파일 출처는 아래 참고자료에 링크 있습니다.
55 발진회로 계산 프로그램 - 내려받아 더블클릭하면 실행합니다.
프로그램 설명
초기 세팅값은 약 60Hz로 맞춰놓았습니다. 각 입력칸에 소숫점 포함 5자리까지 입력할 수 있습니다.
저항 단위는 옴(Ω) ~ 기가옴(GΩ)으로 변경 가능하고
커패시터 단위는 피코패럿(pF) ~ 패럿(F)으로 변경 가능하고
주파수 단위는 헤르츠(Hz) ~ 기가헤르츠(GHz)로 변경 가능하고
시간은 나노초(ns) ~ 초(s)까지 변경 가능합니다.
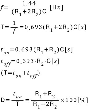
주파수, 주기 및 듀티 사이클 계산식은 다음과 같습니다.

IC555
555 타이머 / 555 timer
555 발진회로 / 555 Oscillator
555 발진회로 주파수 / 555 Oscillator frequency
555 발진회로 출력 / 555 Oscillator output
555 발진회로 출력 주파수 / 555 Oscillator output frequecny
555 발진회로 공식 / 555 Oscillator formula
555 발진회로 계산 / 555 Oscillator calculation
555 주파수 / 555 Frequency
555 출력 / 555 Output
555 출력 주파수 / 555 Output frequency
555 공식 / 555 Formula
555 계산 / 555 Calculation
555 프로그램 / 555 Oscillator program
555 계산 프로그램 / 555 Calculate program
555 계산기 / 555 Calculator
프로그램 실행 이미지

포스트 내용과 프로그램 출처: [이것저것 잡동사니:티스토리]
'메이커 Maker' 카테고리의 다른 글
| 다른 종류의 센서들 (1) | 2024.04.29 |
|---|---|
| 스마트팜 샘플 구조 아크릴로 제작 (0) | 2024.04.26 |
| USB 램프 만들기 (0) | 2024.04.15 |
| 데이터 과학 교육은 대규모 언어 모델로 무엇을 해야 할까요? (0) | 2024.04.08 |
| AI와 IoT가 인터넷과 세계 경제를 변화시키는 이유 (1) | 2024.02.20 |
| 270 MINI ELECTRONICS PROJECT WITH CIRCUIT (1) | 2024.02.06 |
| 임베디드 RTOS 구조와 활용 강의 목차 (2) | 2023.12.22 |
| FreeRTOS 커널 빠른 시작 가이드 (2) | 2023.12.21 |
취업, 창업의 막막함, 외주 관리, 제품 부재!
당신의 고민은 무엇입니까? 현실과 동떨어진 교육, 실패만 반복하는 외주 계약,
아이디어는 있지만 구현할 기술이 없는 막막함.
우리는 알고 있습니다. 문제의 원인은 '명확한 학습, 실전 경험과 신뢰할 수 있는 기술력의 부재'에서 시작됩니다.
이제 고민을 멈추고, 캐어랩을 만나세요!
코딩(펌웨어), 전자부품과 디지털 회로설계, PCB 설계 제작, 고객(시장/수출) 발굴과 마케팅 전략으로 당신을 지원합니다.
제품 설계의 고수는 성공이 만든 게 아니라 실패가 만듭니다. 아이디어를 양산 가능한 제품으로!
귀사의 제품을 만드세요. 교육과 개발 실적으로 신뢰할 수 있는 파트너를 확보하세요.
캐어랩